Woman With Ideal Bodies Looking Herself In The Mirror And Feel Insecure And Fat Human Character Illustration Stock Illustration - Download Image Now - iStock
image size: 1024x1024
eine schlanke junge frau schaut in den spiegel und sieht sich als übergewichtig. Essstörung, Anorexie oder Bulimie-Konzept. Vektor-Illustration. 6449778 Vektor Kunst bei Vecteezy
image size: 980x980
Charity Issue: Feed the facts – The Kirkwood Call
image size: 1501x1126
Symbol Of Anorexia Mental Disorder Or Psychological Frustration Slim Woman Looking In Mirror And Seeing Fat Woman Vector Illustration Isolated On Pink Background Concept Of Young Woman Suffering From Anorexia Looking In
image size: 1023x1024
Illusie de illusie van de spiegel het ontmaskeren van de misleidende reflectie - FasterCapital
image size: 1350x759
The Dictionary of Disorder | The New Yorker
image size: 900x900
Alum Explores Grief Through Memoir – The Peak
image size: 1199x865
Parents Play a Critical Role in Helping Teens with Eating Disorders - AIM Youth Mental Health
Opinion: Get your commentary off our bodies – FasterSkier
image size: 1280x720
How Parents Can Help Teens Who Struggle with Eating - AIM Youth Mental Health
image size: 1024x768
Tech Leaders' Quotes From the Contentious Child Safety Senate Hearing
image size: 1600x900
I'm begging you': what Snapchat knew about addicted users | TBIJ
image size: 1200x675
Objectification can be seen as a form of deception or misconception. When we engage in objectification, we essentially create an illusion or distortion of reality. Any conjecture or contemplation about the true
image size: 1280x720
Weight Loss Transformation
image size: 1024x1536
Untitled
image size: 946x2048
Social media can harm kids. Can laws protect them? - The Boston Globe
image size: 1440x960
Waarom denk je dat AriA zoveel in de spiegel keek? : r/PrettyLittleLiars
image size: 1280x1022
Danielle Steele Crossfit | TikTok
image size: 1080x1440
Relative - Our READ. RANT. RELATE. of DRY LAND by Ruby Rae Spiegel makes a splash TONIGHT! This reading takes place in the LPCC South Gym at 7PM, and it is FREE
image size: 1080x1080
43. On my obsession with Heartstopper - by Alexa Spiegel
image size: 1920x960
Home - Spiegel Freedman Psychological Associate
image size: 1000x1286
Meta, Snapchat CEOs Apologize to Parents at Congressional Hearing
image size: 1500x1000
Snap CEO Evan Spiegel would “love” a TikTok ban
image size: 1920x1080
peakreads | Peak District linguist writes on books in English, German and Spanish, on literary events and on translation.
image size: 3024x4032
Child \u0026 Adolescent Psychiatry | Washington University in St. Louis
image size: 4032x3024
STARS WHO WERE BORN INTO EXTREME WEALTH When fame isn't your first fortune — it's just the next one. In Hollywood, many stars have hustled their way to the top, clawing through
image size: 1382x2048
Home - Spiegel Freedman Psychological Associate
image size: 1000x1286
Review: Theater review: 'Dry Land' | Your Observer
image size: 2000x1330
New German government to clamp down on anorexia – DW – 02/10/2018
image size: 1199x674
Home - Spiegel Freedman Psychological Associate
image size: 1000x1286
Slim Teen Girl Seeing Herself Fat In Mirror Teenager Puberty Problem Vector Illustration Stock Illustration - Download Image Now - iStock
image size: 1024x1024
ElysianSoul – Decadence and Disorder (The Voice Of Anorexia) Lyrics | Genius Lyrics
image size: 1000x1000
Osteoporosis in Women with Anorexia Nervosa | New England Journal of Medicine
image size: 1950x1210
Why Men Are So Obsessed With Morning Routines | GQ
image size: 1080x1080
The thalamus: Structure, function, and neurotherapeutics - Neurotherapeutics
image size: 3158x2104
Myths About Dissociative Identity Disorder (Multiple Personalities) Created by the Media | by Natalie Frank, Ph.D. | Mental Gecko | Medium
image size: 1920x1357
Waarom denk je dat AriA zoveel in de spiegel keek? : r/PrettyLittleLiars
image size: 1280x720
Mirror look fat hi-res stock photography and images - Alamy
image size: 1300x956
Bodhi works | Ghent
image size: 923x923
Home - Spiegel Freedman Psychological Associate
image size: 1000x1286
Psychogenic Polydipsia in a Woman With Anorexia Nervosa: Case Report and Recommendations
image size: 1458x904
Inside Hollywood's Audio Erotica Craze
image size: 1296x730
PIEZO2 in somatosensory neurons controls gastrointestinal transit: Cell
image size: 996x996
When the Mirror Lies: Types of Body Dysmorphic Disorder | Aster Springs
image size: 1200x800
Teenager girl is standing at the mirror and looking at herself Stock Photo - Alamy
image size: 866x1390
Waarom denk je dat AriA zoveel in de spiegel keek? : r/PrettyLittleLiars
image size: 1280x720
The Impact of an Eating Disorder on Sleep | Sleep Foundation
image size: 1500x1000
Myths About Dissociative Identity Disorder (Multiple Personalities) Created by the Media | by Natalie Frank, Ph.D. | Mental Gecko | Medium
image size: 700x1200
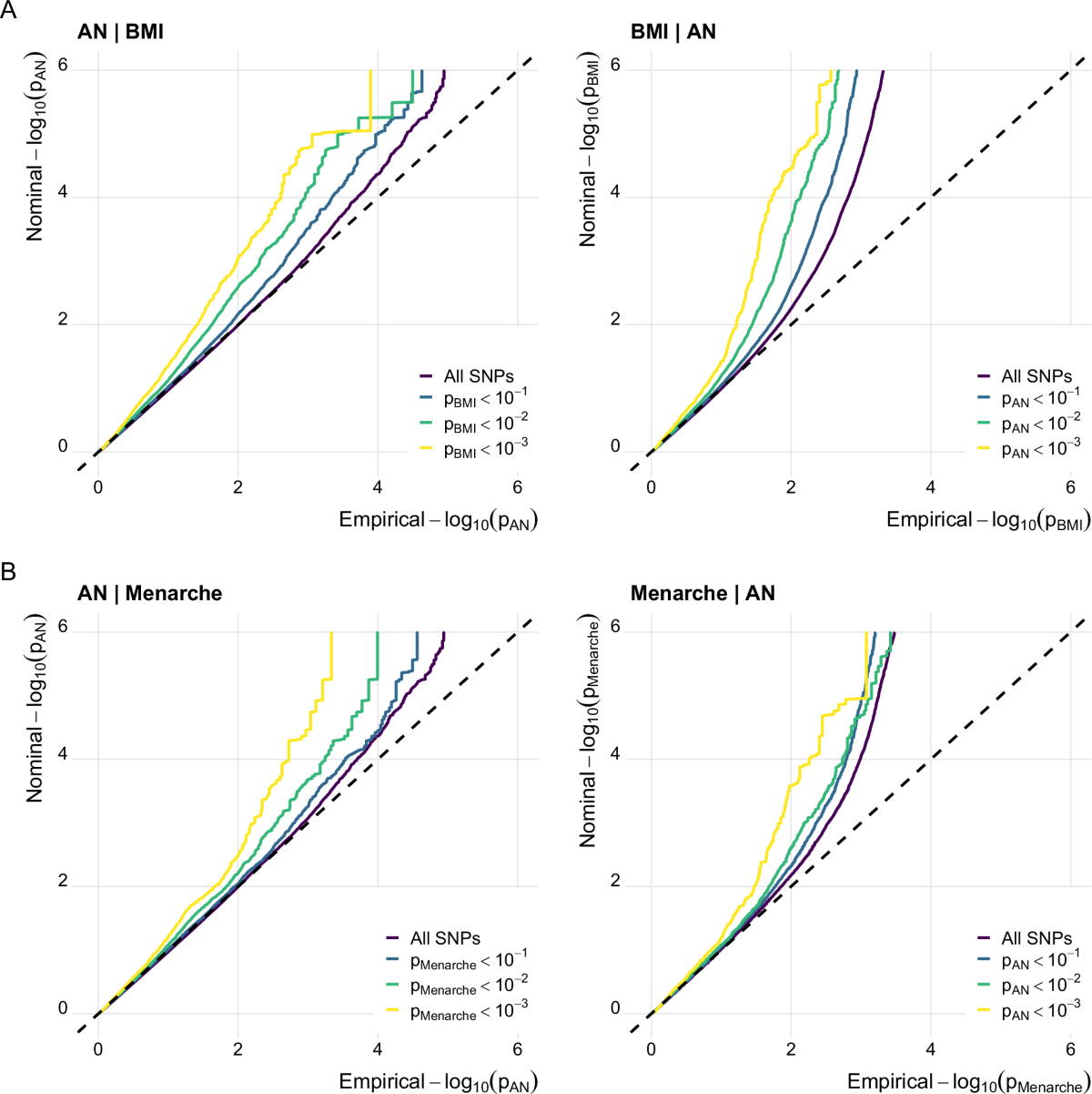
Differential genetic associations between dimensions of eating disorders and alcohol involvement in late adolescent twins - Qi - 2023 - Alcohol, Clinical and Experimental Research - Wiley Online Library
image size: 1985x1177
Large Red bell pepper in front of a mirror with a reflection of a thin red hot chilli pepper Stock Photo - Alamy
image size: 1300x1065
Hypnotherapy App for Healthy \u0026 Mindful Eating | Hypnosis for Food Addiction
image size: 1224x1224
Home - Spiegel Freedman Psychological Associate
image size: 1500x630
CURRICULUM VITAE of Dick Frans SWAAB Contents - Nin - KNAW
image size: 1200x1701
An evolutionary perspective on the genetics of anorexia nervosa | Translational Psychiatry
image size: 685x1424
‘The Eating Disorder Recovery Journal’ by mental health nurse and therapist @caralisette – someone with lived experience of Anorexia Nervosa. Help someone to better understand their eating disorder ...
image size: 720x1280
KU Leuven Magazine Sonar n°7 - September 2022 by KULeuven_publications - Issuu
image size: 1517x2048
Listen to KUKURU podcast | Deezer
image size: 1000x1000
Modern Trends in Hypnosis Ed by David Waxman \u0026 Prem C Misra \u0026 Michael Gibson \u0026 M Anthony Basker (1985) | PDF | Hypnosis | Physician
image size: 768x1024
Lauren Gaffney developed an eating disorder in her early teens and was diagnosed with anorexia nervosa while in transition year. Now 26, she says that restricting food was a coping mechanism that ...
image size: 1080x1440
Digital psychiatry: concepts, framework, and implications - Frontiers
image size: 1181x1656
Art exhibit by 2 Delaware youths lost to suicide
image size: 1733x975
Hypnotherapy App for Healthy \u0026 Mindful Eating | Hypnosis for Food Addiction
image size: 2160x825
The New Religion of Beauty - DER SPIEGEL - The German View
image size: 1600x2400
Voorjaarsbrochure 2026 by Pelckmans - Issuu
image size: 868x1769
Has Social Media Fuelled a Teen-Suicide Crisis? | The New Yorker
image size: 2560x2560
Acceptance and Commitment Therapy bij kinderen en jongeren
image size: 3705x1899
Frontiers | Sleep disorders in cancer: interactions and intrinsic links
image size: 3544x3268
Sarcopenia in Parkinson's disease: from pathogenesis to interventions - Metabolism - Clinical and Experimental