Comedian Eric Andre and actress Tatyana Ali arrive at the GQ October... News Photo - Getty Images
image size: 794x1024
Will Smith and Tatyana Ali 30 plus years later.
image size: 1080x1350
Tatyana Ali's Career and Achievements as Actress and Singer
image size: 1632x2048
Has anyone floated the theory that Eric Andre's Season 5 look was inspired by his ex Rosario Dawson's current bf Cory Booker cause that's what I'm doing : r/adultswim
image size: 1080x1080
Tatyana Ali. Born January 24, 1979, she is an actress and singer best known for her role as Ashley Banks on the NBC sitcom The Fresh Prince of Bel-Air from 1990 to
image size: 960x960
Tatyana Ali's career spans both acting and singing, beginning with childhood roles on Sesame Street and Star Search, before gaining widespread fame as Ashley Banks on The Fresh Prince of Bel-Air (1990-1996)*.
image size: 1620x1406
I'm Eric. I'm an Andre. Comedy doesn't exist. Ask me anything. : r/IAmA
image size: 2446x2446
Tatyana Ali #fyp #foryou #ericandre #ericandreshow | TikTok
image size: 1080x1920
The Eric Andre Show\
image size: 2208x1242
Eric André and Emily Ratajkowski go nude for Valentine's Day - Los Angeles Times
image size: 1200x675
Tatyana Ali (born January 24, 1979) is an American actress, singer, and activist renowned for her diverse talents and contributions to the entertainment industry. She gained widespread fame as Ashley Banks in
image size: 1222x1280
Tatyana Ali - Wikipedia, a enciclopedia libre
image size: 960x1374
With Tatyana Ali (Sorted by Popularity Ascending)
image size: 844x1096
Prime Video: The Eric Andre Show Season 1
image size: 1280x720
With Tatyana Ali (Sorted by Popularity Ascending)
image size: 2025x3000
Tatyana Ali - The Eric Andre Show (Season 1, Episode 3) - Apple TV
image size: 1200x675
Prime Video: The Eric Andre Show Season 1
image size: 1333x1000
The Fresh Prince of Bel-Air Cast, Then and Now
image size: 1080x1080
Tatyana Ali Inducted as Honorary Member of Zeta Phi Beta - Watch The Yard
image size: 1920x1080
Prime Video: The Eric Andre Show Season 1
image size: 1920x1080
The Eric Andre Show\
image size: 2208x1242
Fresh Prince Gets a Reboot: See the Original Cast Then and Now
image size: 1080x1080
Tatyana Ali Interview | TikTok
image size: 1048x1518
Will Smith Reveals Fresh Prince Reunion Release Date With New Trailer | Vanity Fair
image size: 3462x3462
The Eric Andre Show season 1 Tatyana Ali Reviews - Metacritic
image size: 3840x2160
The Eric Andre Show\
image size: 2208x1242
Eric Andre Net Worth \u0026 Girlfriend - Famous People Today
image size: 800x1200
Doechii and Tatyana Ali's ‘Anxiety’ Dance Recreation
image size: 1014x1473
a happy v day from eric and his gf (via eric's ig) : r/TheEricAndreShow
image size: 1125x1118
Watch The Eric Andre Show online | YouTube TV (Free Trial)
image size: 1440x810
Tatyana Ali Interview | TikTok
image size: 1080x1920
Tatyana Ali Speaking Spanish with Her Mom | TikTok
image size: 1080x1920
New 'Doctor Who' Premieres, 'Baby Reindeer' Stars Make Red Carpet Debut and More of This Week's Best Events
image size: 960x1439
Star Tracks: Rihanna, Will Smith, Dua Lipa and More [PHOTOS]
image size: 2000x1421
Doctor Who,' 'Baby Reindeer' and This Week's Best Events
image size: 1000x1498
Tatyana Ali (American Actress) ~ Bio with [ Photos | Videos ]
image size: 750x1096
Watch The Eric Andre Show • Season 1 Full Episodes Online - Plex
image size: 1000x1500
Tatyana Ali – @blackkudos on Tumblr
image size: 736x1104
The Eric Andre Show\
image size: 909x1364
Best Cast Reunions Photos from Clueless, Boy Meets World and More
image size: 2000x1491
2017 Coca-Cola Scholar Semifinalists - Coca-Cola Scholars Foundation
image size: 1400x792
Tatyana Ali Meet and Greet | TikTok
image size: 1080x1920
The MAKE IT Podcast | RedCircle
image size: 3000x3000
Prime Video: The Eric Andre Show Season 1
image size: 1280x720
Watch The Eric Andre Show | Season 1 Episode 3 | HBO Max
image size: 1024x1024
Prime Video: The Eric Andre Show Season 1
image size: 1280x720
Prime Video: The Eric Andre Show Season 1
image size: 1280x720
Tatyana Ali age, hometown, biography | Last.fm
image size: 1132x1600
Who is Eric Andre's girlfriend? A closer look at Eric's sexuality and dating life - TheNetline
image size: 2218x1200
The Eric Andre Show Season 1 Streaming: Watch \u0026 Stream Online via Hulu
image size: 1200x675
PROGRAM: Bravo Fall 2018 Opera by Detroit Opera - Issuu
image size: 1682x1631
Eric Andre's dating history: Who has the comedian dated?
image size: 1080x848
Episode List | The Eric Andre Show Wikia | Fandom
image size: 2048x1536
Brimmer Magazine - Fall 2025 by Brimmer and May School - Issuu
image size: 1636x2116
Doctor Who,' 'Baby Reindeer' and This Week's Best Events
image size: 3426x2284
Tatyana Ali Interview | TikTok
image size: 1170x1353
First Look at the 'Black-ish' Cast in Season 2! (Exclusive) | Entertainment Tonight
image size: 1280x720
Doctor Who,' 'Baby Reindeer' and This Week's Best Events
image size: 3000x2000
Watch The Eric Andre Show Online | Season 1 (2012) | TV Guide
image size: 3840x2160
Charlotte 49ers Track and Field Results - Charlotte 49ers - Charlotte Athletics
image size: 1920x1080
LSU Alumni Magazine - Fall 2025 by LSU Alumni Association - Issuu
image size: 815x1091
The Eric Andre Show Season 2: Where To Watch Every Episode | Reelgood
image size: 1280x720
Brimmer Magazine - Fall 2025 by Brimmer and May School - Issuu
image size: 1990x1068
Best Cast Reunions Photos from Clueless, Boy Meets World and More
image size: 2000x1331
What to Watch on TV: Good Trouble, A Christmas Carol, For All Mankind
image size: 1024x819
Student Honors Convocation | North Carolina A\u0026T State University
image size: 1920x1280
Doctor Who,' 'Baby Reindeer' and This Week's Best Events
image size: 3000x2048
Eric Andre Net Worth \u0026 Girlfriend - Famous People Today
image size: 800x1200
Table of Contents — June 10, 2025, 122 (23) | PNAS
image size: 807x1088
Vol 51, No 12 | Stroke
image size: 800x1070
News - STCC announces fall 2021 dean's list | STCC
image size: 1920x1080
Eric Andre's dating history: Who has the comedian dated?
image size: 929x959
Eric Andre Family/Girlfriend | Who is Eric Andre Dating? Is He Married?
image size: 1200x800
Star Tracks: Rihanna, Will Smith, Dua Lipa and More [PHOTOS]
image size: 2000x1450
Tatyana Ali, Rebecca Gayheart, Judy Greer, Julie Benz \u0026 Rose McGowan, Jawbreaker premiere 1999 : r/OldSchoolCool
image size: 1176x1438
The Eric Andre Show | Cartoon Network/Adult Swim Archives Wiki | Fandom
image size: 1200x675
Brimmer Magazine - Fall 2025 by Brimmer and May School - Issuu
image size: 2559x3309
New 'Doctor Who' Premieres, 'Baby Reindeer' Stars Make Red Carpet Debut and More of This Week's Best Events
image size: 960x1440
UA Little Rock Honors Dean's List Recipients - News - UA Little Rock
image size: 1200x840
NEWS | Tennessee State University Newsroom | Page 161
image size: 3264x2448
Fall 2019 Dean's List - CU Denver News
image size: 1288x726
News - STCC announces fall 2024 dean's list | STCC
image size: 1200x900
Eric Andre Net Worth \u0026 Girlfriend - Famous People Today
image size: 800x1200
Fall 2025 Dean's List | Bridgewater State University
image size: 2400x1349
2025 Spring Commencement by tennstate - Issuu
image size: 2559x3309
President's and Dean's List - Byrdine F. Lewis College of Nursing and Health Professions
image size: 1688x1125
Eric Andre Net Worth \u0026 Girlfriend - Famous People Today
image size: 800x1200
Prior Term Dean's List Recipients : Academic Engagement : Texas State University
image size: 1920x1280
Honor Roll of Donors | Utica University
image size: 2520x1120
Thrombus Burden and Outcomes in Patients With COVID-19 Presenting With STEMI Across the Pandemic | JACC
image size: 3446x2679
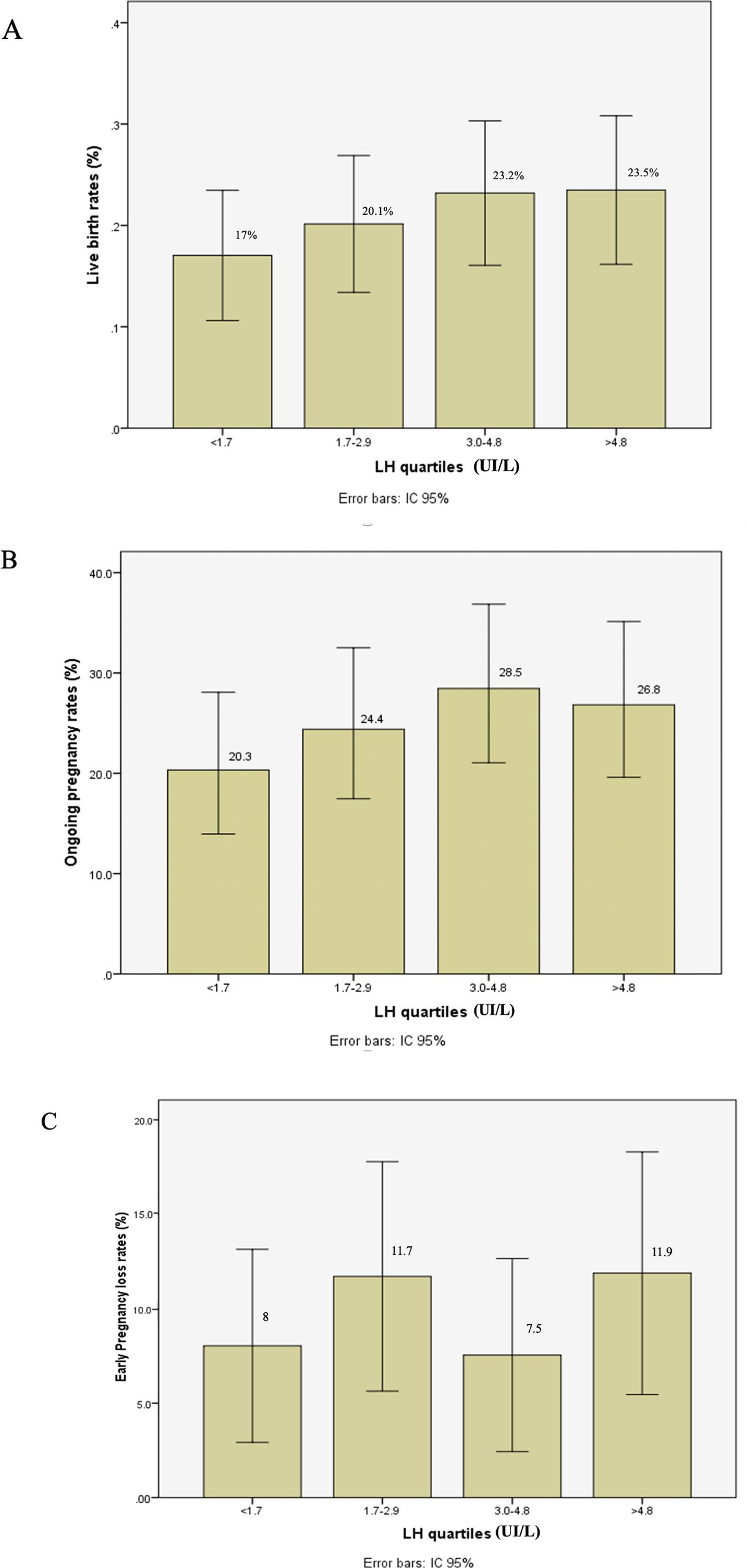
Frontiers | Impact of late follicular luteinizing hormone levels on live birth rate after fresh embryo transfer: a retrospective cohort study in GNRH antagonist cycles
image size: 1200x2519
Marry Me This Christmas – @sleepykittypaws on Tumblr
image size: 1680x1036
Issuu
image size: 1466x2048
Contents | Science Advances 11, 24
image size: 1600x1200
Illinois State University is pleased to recognize all donors to the ...